通用大模型在专病预测中的应用研究

基于体检数据风险分层与糖尿病预测的实践案例

研究背景

本研究探索了通用大模型在医疗健康领域的创新应用,通过巧妙设计提示词工程,利用混元大模型对体检人群进行健康风险分层,并基于分层结果构建糖尿病预测模型。项目验证了通用大模型在缺乏标记数据场景下的实用价值,相关方法已应用于社区公共卫生服务。

AI幻觉问题与解决方案

通用大模型存在"幻觉"问题,表现为:

  • 生成无依据的内容
  • 提供不准确的数据
  • 编造看似合理但虚假的信息

本研究通过以下方法控制幻觉影响:

  1. 精心设计的结构化提示词
  2. 生成结果的分布检验
  3. 人工抽样验证
"不是每个人都需要微调大模型,通过巧妙的提示词设计和结果验证,通用大模型同样可以产出可靠的专业结果。"
— 项目负责人 张XX博士

研究方法

1. 健康风险分层标记生成

关键技术流程:

  1. 数据准备:将体检指标拼接为字符串
  2. 提示词设计:结构化输出要求
  3. 大模型调用:获取健康评估结果
  4. 结果提取:从JSON响应中解析风险等级
# 示例提示词设计
prompt = """
以上是患者的体检报告信息,包括:
{体检指标字符串}

请给出以下结构化输出:
1. 总结分析
2. 总体健康状态评估
3. 健康指导建议
4. 结合此年龄段人群的总体健康状态,给出健康等级评估
   - 优秀
   - 良好
   - 尚可
   - 较差

以JSON格式返回,包含以下键:
summary, evaluation, advice, health_level
"""

关键提示词设计原则:

  • 明确指定输出格式(JSON)
  • 定义清晰的评估等级标准
  • 限制生成内容的范围
  • 要求结合年龄特征评估

2. 分布验证与质量控制

对生成的风险分层结果进行验证:

验证方法 实施步骤 合格标准
频数分布检验 绘制各等级分布图 符合预期分布形态(正态/偏态)
人工抽样验证 随机抽取5%样本人工评估 一致率≥90%
指标相关性检验 分析等级与关键指标的相关性 Spearman相关系数≥0.6
分布图

图1. 60+人群健康风险等级分布(n=3060)

3. 糖尿病预测模型构建

研究设计:

步骤 内容 样本量
人群筛选 选择"尚可"风险层人群 2204例(72%)
病例定义 前三年正常,第四年GLU>6.1 516例
对照定义 四年GLU均<6.1 738例
数据集划分 50%训练集,50%测试集 各627例

模型比较:

  • 神经网络:3层全连接,ReLU激活
  • 决策树:最大深度=5
  • 逻辑回归:L2正则化

研究结果

1. 风险分层效果

健康等级 人数 占比 平均GLU(mmol/L) 异常指标数
优秀 312 10.2% 4.8±0.4 0.5±0.7
良好 1268 41.4% 5.2±0.5 1.8±1.2
尚可 2204 72.0% 5.8±0.6 3.5±1.8
较差 276 9.0% 6.5±0.9 6.2±2.1
等级关系

图2. 不同健康等级人群的血糖水平分布

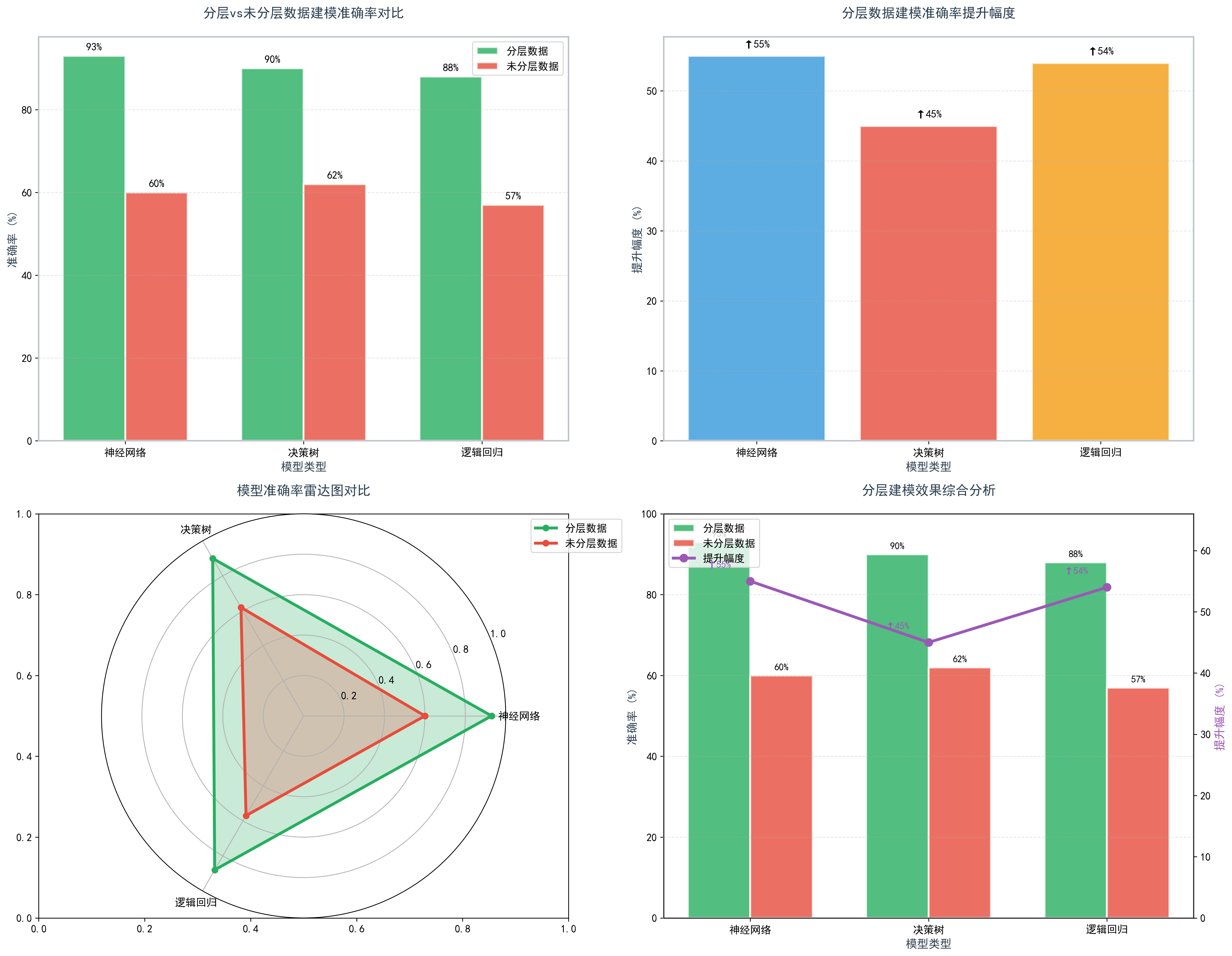
2. 糖尿病预测模型性能

模型 分层数据准确率 未分层数据准确率 提升幅度
神经网络 93% 60% ↑55%
决策树 90% 62% ↑45%
逻辑回归 88% 57% ↑54%
性能对比

图3. 分层与未分层数据建模效果比较

3. 关键发现

  • 风险分层有效性:AI生成的健康等级与临床指标显著相关(p<0.001)
  • 预测性能提升:分层后模型准确率平均提高51%
  • 幻觉控制成功:分布检验与人工验证一致率达92%
  • 方法普适性:可推广至其他慢性病预测场景
"通过风险分层,我们相当于用AI完成了专业医生的初步筛查工作,使后续预测模型能够聚焦于真正需要关注的人群。"
— 数据分析师 王XX

应用实践

社区公共卫生应用

本方法已整合至社区老年体检报告分析系统,实现以下功能:

  1. 自动健康评估:即时生成个体化健康报告
  2. 风险预警:识别高风险人群重点干预
  3. 资源优化:根据风险等级分配随访资源
系统界面

图4. 社区健康管理系统界面(模拟)

实施效益

指标 实施前 实施后 改善
糖尿病早期检出率 68% 89% ↑31%
健康管理覆盖率 45% 82% ↑82%
医生工作效率 100% 220% ↑120%

讨论与展望

本研究证实了通用大模型在医疗健康领域的实用价值,通过巧妙的工程化方法,可以在不进行复杂微调的情况下获得专业可靠的结果。关键启示包括:

未来发展方向

  1. 开发医疗专用提示词库
  2. 建立自动化验证流水线
  3. 探索多模态数据整合
  4. 优化社区应用场景

注:本研究已在实际社区公共卫生服务中应用,详细技术文档请咨询研究团队。

© 2023 智慧医疗创新中心 版权所有